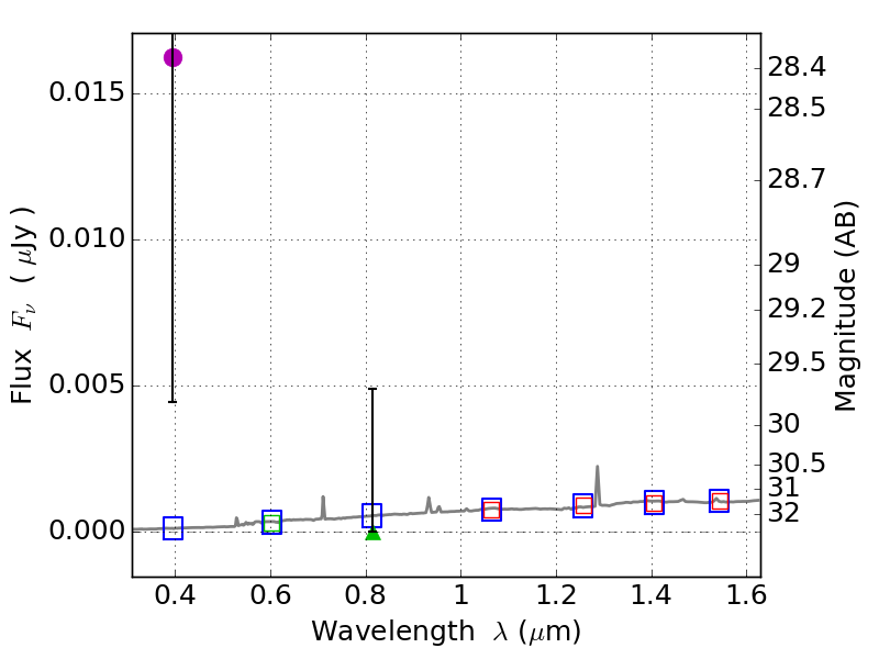
RXS0603+42-N IR detection object #797

Color images and BPZ results
Catalog: 797.cat
Black segments are analyzed here.   Roll mouse over color images to view segments.
Best viewed in a wide browser window (1200 pixels or more).   Download SED & P(z) plots to view larger versions.
In P(z) plots: Yellow lines mark the cluster redshift z = 0.228,  

Object #797   x,y = (3231, 3427)   RA, Dec = (06:03:10.200, 42:16:43.32) = (90.79250, 42.27870)   BPZ = 0.420 [0.049--0.864]   type = 7.00 (Scd_B10)   stellarity = 0.81   chisq2 = 1.87   ODDS = 0.20   z_cluster = 0.228