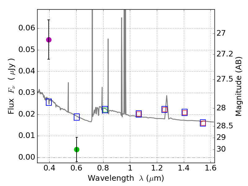
RXS0603+42-N IR detection object #7756

Color images and BPZ results
Catalog: 7756.cat
Black segments are analyzed here.   Roll mouse over color images to view segments.
Best viewed in a wide browser window (1200 pixels or more).   Download SED & P(z) plots to view larger versions.
In P(z) plots: Yellow lines mark the cluster redshift z = 0.228,  

Object #7756   x,y = (3565, 927)   RA, Dec = (06:03:08.400, 42:14:13.20) = (90.78500, 42.23700)   BPZ = 0.932 [0.632--2.358]   type = 11.00 (SB11_A_0_l)   stellarity = 0.37   chisq2 = 16.51   ODDS = 0.12   z_cluster = 0.228