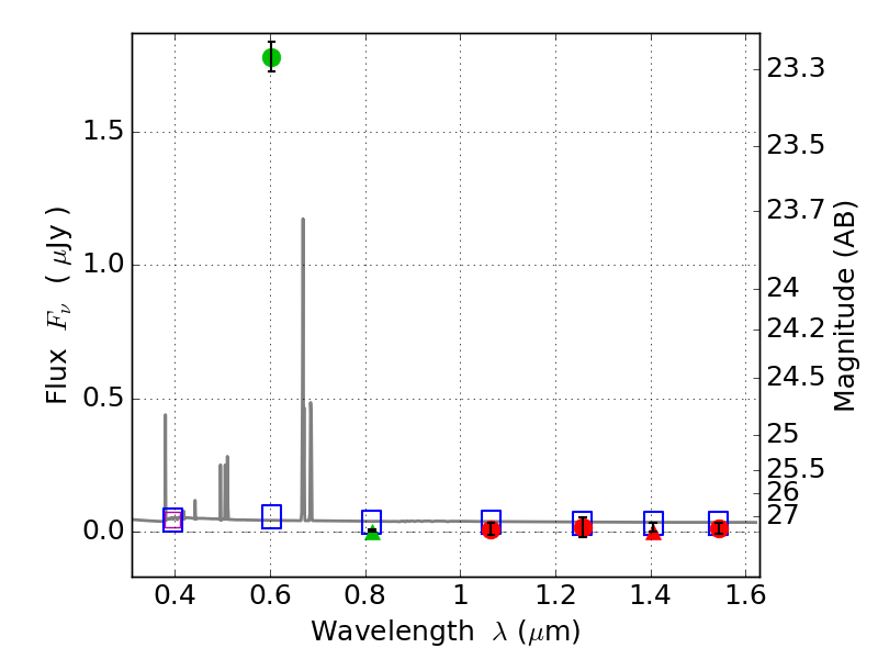
RXS0603+42-N IR detection object #7754

Color images and BPZ results
Catalog: 7754.cat
Black segments are analyzed here.   Roll mouse over color images to view segments.
Best viewed in a wide browser window (1200 pixels or more).   Download SED & P(z) plots to view larger versions.
In P(z) plots: Yellow lines mark the cluster redshift z = 0.228,  

Object #7754   x,y = (1892, 928)   RA, Dec = (06:03:17.424, 42:14:13.56) = (90.82260, 42.23710)   BPZ = 0.024 [0.011--2.719]   type = 11.00 (SB11_A_0_l)   stellarity = 0.89   chisq2 = 305.80   ODDS = 0.75   z_cluster = 0.228