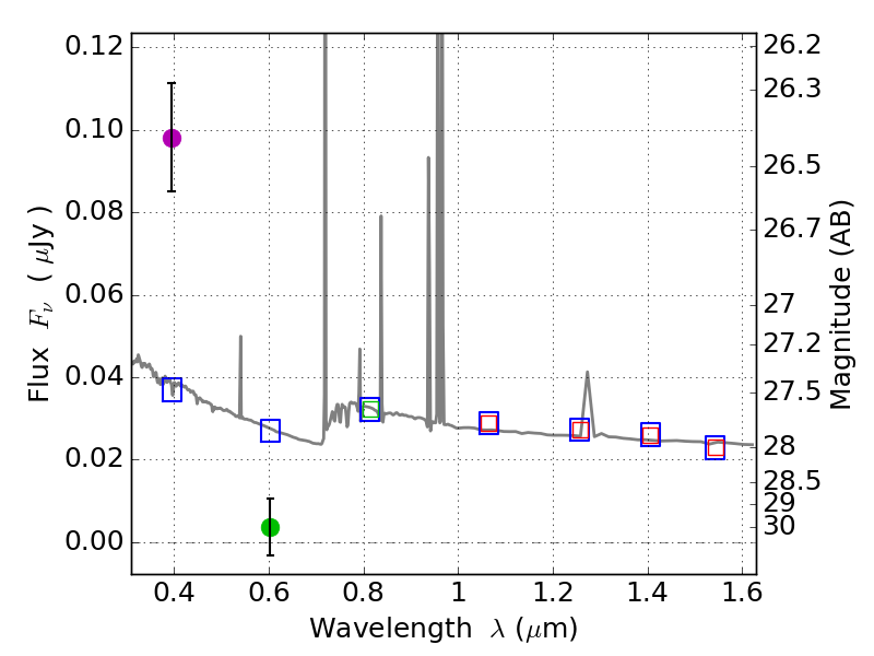
RXS0603+42-N IR detection object #7741

Color images and BPZ results
Catalog: 7741.cat
Black segments are analyzed here.   Roll mouse over color images to view segments.
Best viewed in a wide browser window (1200 pixels or more).   Download SED & P(z) plots to view larger versions.
In P(z) plots: Yellow lines mark the cluster redshift z = 0.228,  

Object #7741   x,y = (3228, 934)   RA, Dec = (06:03:10.224, 42:14:13.56) = (90.79260, 42.23710)   BPZ = 0.931 [0.701--2.253]   type = 11.00 (SB11_A_0_l)   stellarity = 0.40   chisq2 = 30.88   ODDS = 0.15   z_cluster = 0.228