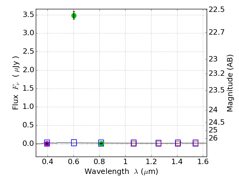
RXS0603+42-N IR detection object #772

Color images and BPZ results
Catalog: 772.cat
Black segments are analyzed here.   Roll mouse over color images to view segments.
Best viewed in a wide browser window (1200 pixels or more).   Download SED & P(z) plots to view larger versions.
In P(z) plots: Yellow lines mark the cluster redshift z = 0.228,  

Object #772   x,y = (3193, 3440)   RA, Dec = (06:03:10.416, 42:16:44.04) = (90.79340, 42.27890)   BPZ = 2.841 [0.261--3.757]   type = 11.00 (SB11_A_0_l)   stellarity = 0.86   chisq2 = 1113.00   ODDS = 0.15   z_cluster = 0.228