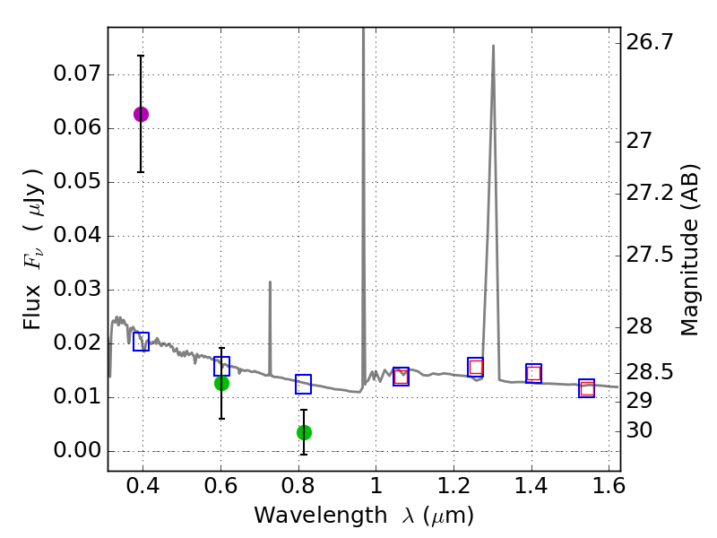
RXS0603+42-N IR detection object #7630

Color images and BPZ results
Catalog: 7630.cat
Black segments are analyzed here.   Roll mouse over color images to view segments.
Best viewed in a wide browser window (1200 pixels or more).   Download SED & P(z) plots to view larger versions.
In P(z) plots: Yellow lines mark the cluster redshift z = 0.228,  

Object #7630   x,y = (2648, 986)   RA, Dec = (06:03:13.344, 42:14:16.80) = (90.80560, 42.23800)   BPZ = 1.596 [0.755--2.574]   type = 11.00 (SB11_A_0_l)   stellarity = 0.50   chisq2 = 19.29   ODDS = 0.21   z_cluster = 0.228