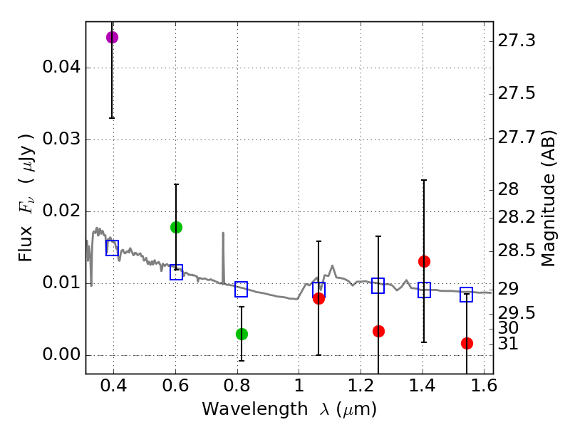
RXS0603+42-N IR detection object #7608

Color images and BPZ results
Catalog: 7608.cat
Black segments are analyzed here.   Roll mouse over color images to view segments.
Best viewed in a wide browser window (1200 pixels or more).   Download SED & P(z) plots to view larger versions.
In P(z) plots: Yellow lines mark the cluster redshift z = 0.228,  

Object #7608   x,y = (2142, 995)   RA, Dec = (06:03:16.080, 42:14:17.52) = (90.81700, 42.23820)   BPZ = 1.699 [0.353--3.382]   type = 11.00 (SB11_A_0_l)   stellarity = 0.43   chisq2 = 2.89   ODDS = 0.19   z_cluster = 0.228