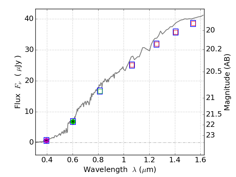
RXS0603+42-N IR detection object #7604

Color images and BPZ results
Catalog: 7604.cat
Black segments are analyzed here.   Roll mouse over color images to view segments.
Best viewed in a wide browser window (1200 pixels or more).   Download SED & P(z) plots to view larger versions.
In P(z) plots: Yellow lines mark the cluster redshift z = 0.228,  

Object #7604   x,y = (3521, 994)   RA, Dec = (06:03:08.640, 42:14:17.52) = (90.78600, 42.23820)   BPZ = 0.406 [0.320--0.865]   type = 3.40 (Ell5_A_0 - Ell4_A_0)   stellarity = 0.93   chisq2 = 0.00   ODDS = 0.47   z_cluster = 0.228