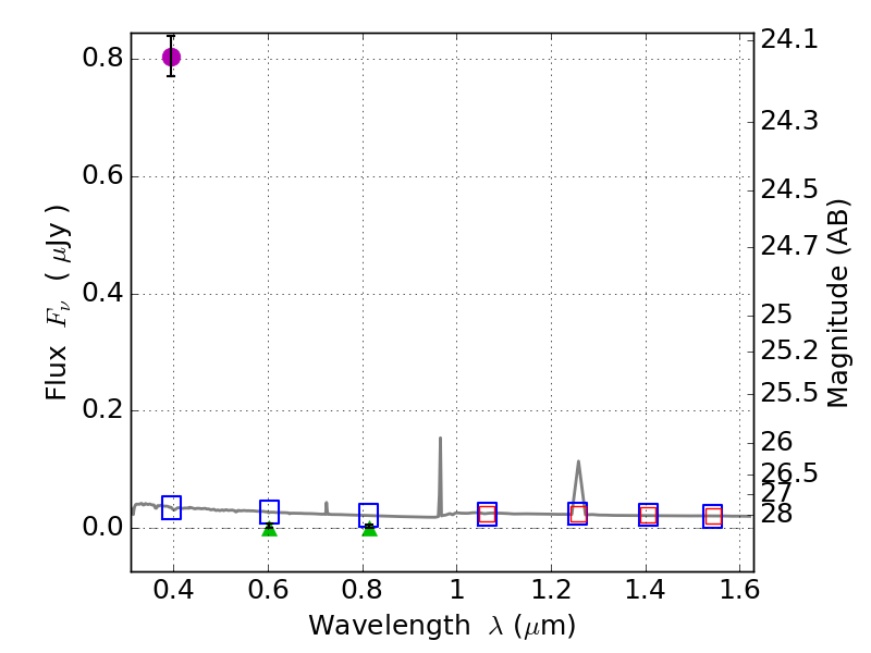
RXS0603+42-N IR detection object #760

Color images and BPZ results
Catalog: 760.cat
Black segments are analyzed here.   Roll mouse over color images to view segments.
Best viewed in a wide browser window (1200 pixels or more).   Download SED & P(z) plots to view larger versions.
In P(z) plots: Yellow lines mark the cluster redshift z = 0.228,  

Object #760   x,y = (2143, 3446)   RA, Dec = (06:03:16.080, 42:16:44.40) = (90.81700, 42.27900)   BPZ = 1.594 [1.138--2.172]   type = 11.00 (SB11_A_0_l)   stellarity = 0.64   chisq2 = 529.30   ODDS = 0.33   z_cluster = 0.228