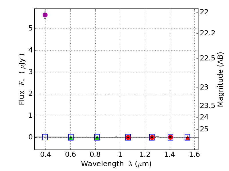
RXS0603+42-N IR detection object #7585

Color images and BPZ results
Catalog: 7585.cat
Black segments are analyzed here.   Roll mouse over color images to view segments.
Best viewed in a wide browser window (1200 pixels or more).   Download SED & P(z) plots to view larger versions.
In P(z) plots: Yellow lines mark the cluster redshift z = 0.228,  

Object #7585   x,y = (2058, 998)   RA, Dec = (06:03:16.536, 42:14:17.52) = (90.81890, 42.23820)   BPZ = 1.599 [0.362--9.010]   type = 11.00 (SB11_A_0_l)   stellarity = 1.00   chisq2 = 284.80   ODDS = 0.07   z_cluster = 0.228