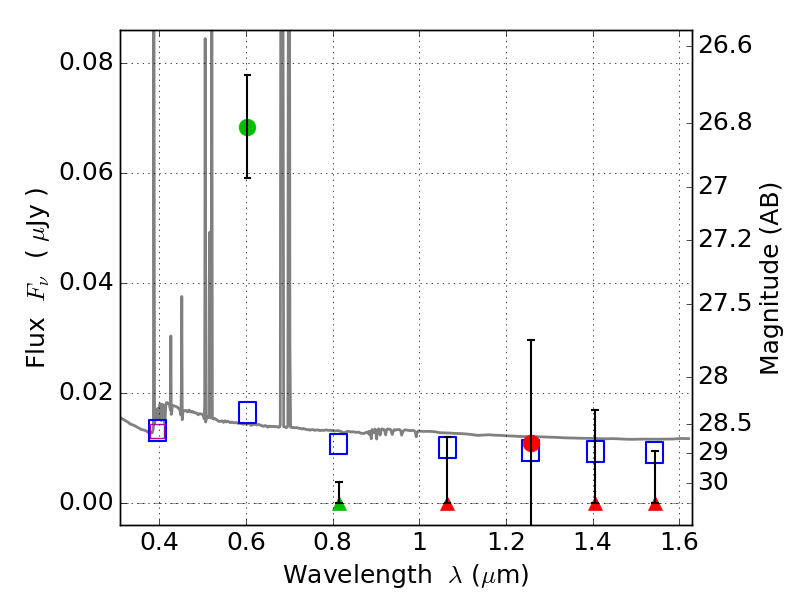
RXS0603+42-N IR detection object #7555

Color images and BPZ results
Catalog: 7555.cat
Black segments are analyzed here.   Roll mouse over color images to view segments.
Best viewed in a wide browser window (1200 pixels or more).   Download SED & P(z) plots to view larger versions.
In P(z) plots: Yellow lines mark the cluster redshift z = 0.228,  

Object #7555   x,y = (1874, 1017)   RA, Dec = (06:03:17.544, 42:14:18.60) = (90.82310, 42.23850)   BPZ = 0.036 [0.081--3.748]   type = 11.00 (SB11_A_0_l)   stellarity = 0.52   chisq2 = 13.24   ODDS = 0.02   z_cluster = 0.228