RXS0603+42-N IR detection object #7550

Color images and BPZ results
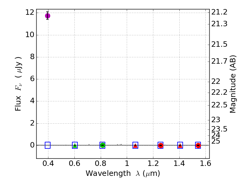
Catalog: 7550.cat
Black segments are analyzed here.   Roll mouse over color images to view segments.
Best viewed in a wide browser window (1200 pixels or more).   Download SED & P(z) plots to view larger versions.
In P(z) plots: Yellow lines mark the cluster redshift z = 0.228,  

Object #7550   x,y = (2033, 1010)   RA, Dec = (06:03:16.680, 42:14:18.24) = (90.81950, 42.23840)   BPZ = 0.906 [0.195--5.190]   type = 11.00 (SB11_A_0_l)   stellarity = 1.00   chisq2 = 286.80   ODDS = 0.07   z_cluster = 0.228