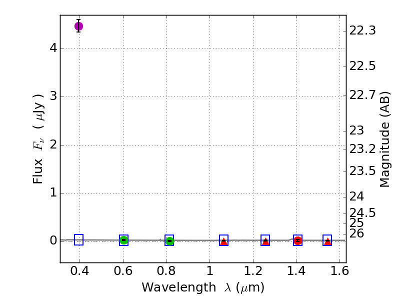
RXS0603+42-N IR detection object #7548

Color images and BPZ results
Catalog: 7548.cat
Black segments are analyzed here.   Roll mouse over color images to view segments.
Best viewed in a wide browser window (1200 pixels or more).   Download SED & P(z) plots to view larger versions.
In P(z) plots: Yellow lines mark the cluster redshift z = 0.228,  

Object #7548   x,y = (2035, 1017)   RA, Dec = (06:03:16.656, 42:14:18.60) = (90.81940, 42.23850)   BPZ = 1.763 [0.394--6.407]   type = 11.00 (SB11_A_0_l)   stellarity = 0.90   chisq2 = 280.00   ODDS = 0.16   z_cluster = 0.228