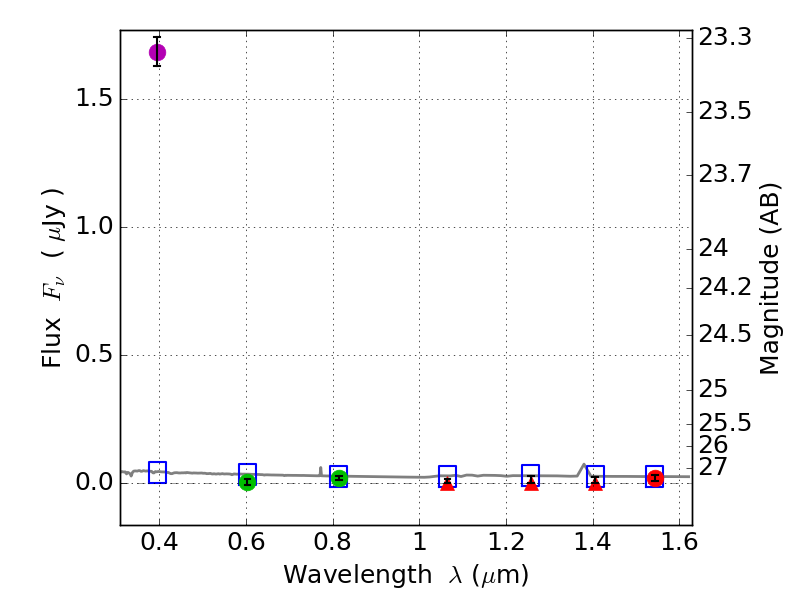
RXS0603+42-N IR detection object #7530

Color images and BPZ results
Catalog: 7530.cat
Black segments are analyzed here.   Roll mouse over color images to view segments.
Best viewed in a wide browser window (1200 pixels or more).   Download SED & P(z) plots to view larger versions.
In P(z) plots: Yellow lines mark the cluster redshift z = 0.228,  

Object #7530   x,y = (2011, 1022)   RA, Dec = (06:03:16.800, 42:14:18.96) = (90.82000, 42.23860)   BPZ = 1.763 [0.892--2.321]   type = 11.00 (SB11_A_0_l)   stellarity = 0.66   chisq2 = 202.20   ODDS = 0.34   z_cluster = 0.228