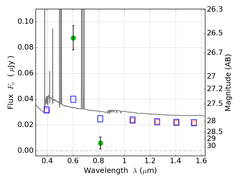
RXS0603+42-N IR detection object #7493

Color images and BPZ results
Catalog: 7493.cat
Black segments are analyzed here.   Roll mouse over color images to view segments.
Best viewed in a wide browser window (1200 pixels or more).   Download SED & P(z) plots to view larger versions.
In P(z) plots: Yellow lines mark the cluster redshift z = 0.228,  

Object #7493   x,y = (1778, 1036)   RA, Dec = (06:03:18.048, 42:14:19.68) = (90.82520, 42.23880)   BPZ = 0.025 [0.016--3.049]   type = 11.00 (SB11_A_0_l)   stellarity = 0.72   chisq2 = 36.87   ODDS = 0.16   z_cluster = 0.228