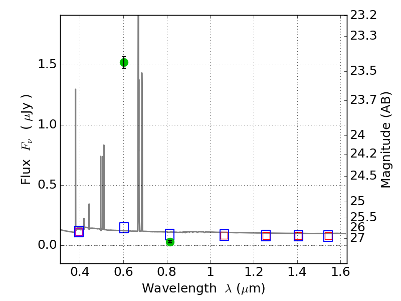
RXS0603+42-N IR detection object #7486

Color images and BPZ results
Catalog: 7486.cat
Black segments are analyzed here.   Roll mouse over color images to view segments.
Best viewed in a wide browser window (1200 pixels or more).   Download SED & P(z) plots to view larger versions.
In P(z) plots: Yellow lines mark the cluster redshift z = 0.228,  

Object #7486   x,y = (1698, 1038)   RA, Dec = (06:03:18.480, 42:14:20.04) = (90.82700, 42.23890)   BPZ = 0.018 [0.010--0.040]   type = 11.00 (SB11_A_0_l)   stellarity = 0.92   chisq2 = 779.90   ODDS = 1.00   z_cluster = 0.228