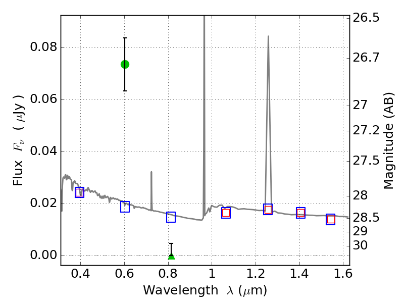
RXS0603+42-N IR detection object #7420

Color images and BPZ results
Catalog: 7420.cat
Black segments are analyzed here.   Roll mouse over color images to view segments.
Best viewed in a wide browser window (1200 pixels or more).   Download SED & P(z) plots to view larger versions.
In P(z) plots: Yellow lines mark the cluster redshift z = 0.228,  

Object #7420   x,y = (1773, 1064)   RA, Dec = (06:03:18.072, 42:14:21.48) = (90.82530, 42.23930)   BPZ = 1.595 [0.084--3.399]   type = 11.00 (SB11_A_0_l)   stellarity = 0.76   chisq2 = 36.92   ODDS = 0.13   z_cluster = 0.228