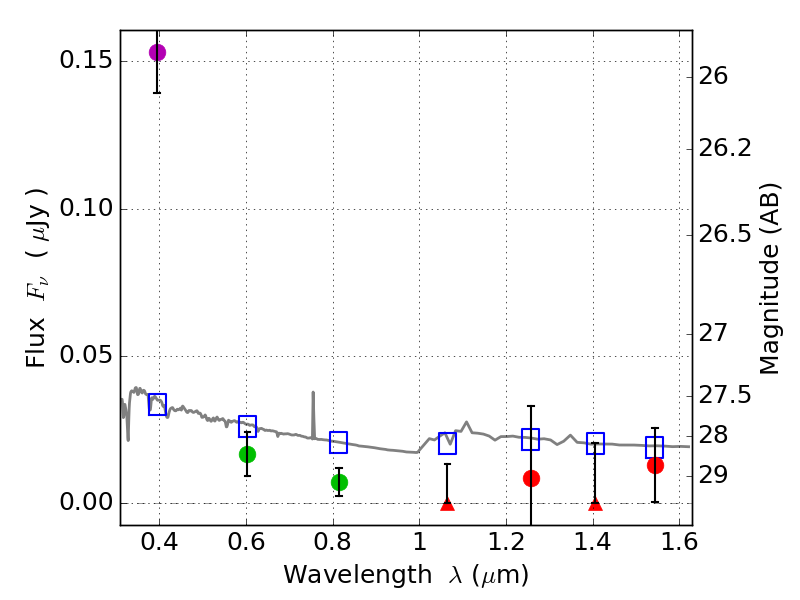
RXS0603+42-N IR detection object #7411

Color images and BPZ results
Catalog: 7411.cat
Black segments are analyzed here.   Roll mouse over color images to view segments.
Best viewed in a wide browser window (1200 pixels or more).   Download SED & P(z) plots to view larger versions.
In P(z) plots: Yellow lines mark the cluster redshift z = 0.228,  

Object #7411   x,y = (2724, 1067)   RA, Dec = (06:03:12.936, 42:14:21.84) = (90.80390, 42.23940)   BPZ = 1.699 [1.275--2.240]   type = 11.00 (SB11_A_0_l)   stellarity = 0.69   chisq2 = 20.57   ODDS = 0.41   z_cluster = 0.228