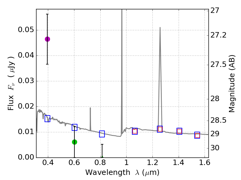
RXS0603+42-N IR detection object #7410

Color images and BPZ results
Catalog: 7410.cat
Black segments are analyzed here.   Roll mouse over color images to view segments.
Best viewed in a wide browser window (1200 pixels or more).   Download SED & P(z) plots to view larger versions.
In P(z) plots: Yellow lines mark the cluster redshift z = 0.228,  

Object #7410   x,y = (3390, 1066)   RA, Dec = (06:03:09.336, 42:14:21.84) = (90.78890, 42.23940)   BPZ = 1.595 [0.448--4.139]   type = 11.00 (SB11_A_0_l)   stellarity = 0.36   chisq2 = 13.90   ODDS = 0.15   z_cluster = 0.228