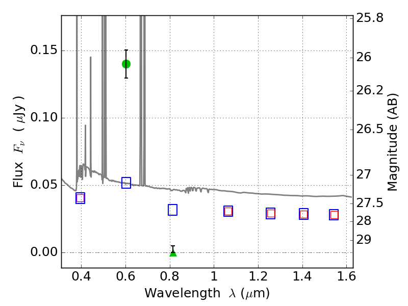
RXS0603+42-N IR detection object #7397

Color images and BPZ results
Catalog: 7397.cat
Black segments are analyzed here.   Roll mouse over color images to view segments.
Best viewed in a wide browser window (1200 pixels or more).   Download SED & P(z) plots to view larger versions.
In P(z) plots: Yellow lines mark the cluster redshift z = 0.228,  

Object #7397   x,y = (1735, 1071)   RA, Dec = (06:03:18.288, 42:14:21.84) = (90.82620, 42.23940)   BPZ = 0.021 [0.010--1.635]   type = 11.00 (SB11_A_0_l)   stellarity = 0.65   chisq2 = 92.68   ODDS = 0.97   z_cluster = 0.228