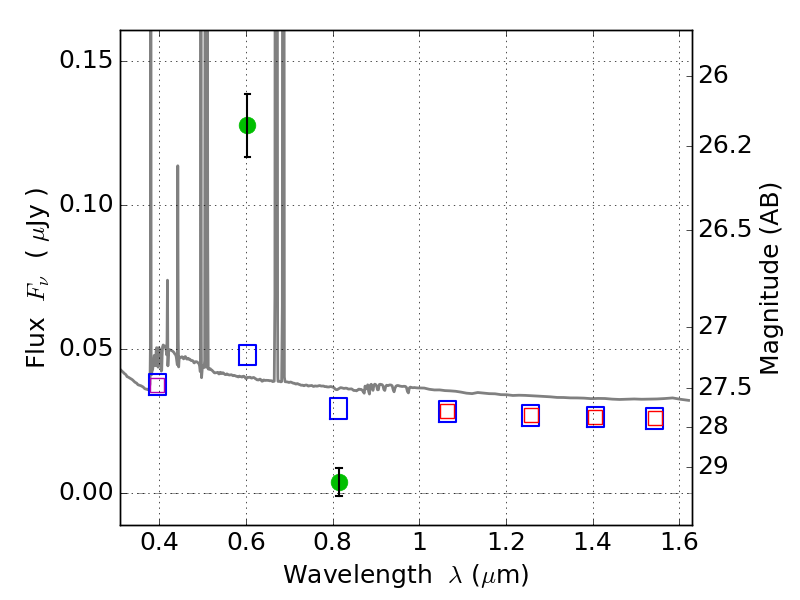
RXS0603+42-N IR detection object #7393

Color images and BPZ results
Catalog: 7393.cat
Black segments are analyzed here.   Roll mouse over color images to view segments.
Best viewed in a wide browser window (1200 pixels or more).   Download SED & P(z) plots to view larger versions.
In P(z) plots: Yellow lines mark the cluster redshift z = 0.228,  

Object #7393   x,y = (1792, 1071)   RA, Dec = (06:03:17.976, 42:14:21.84) = (90.82490, 42.23940)   BPZ = 0.023 [0.011--2.858]   type = 11.00 (SB11_A_0_l)   stellarity = 0.75   chisq2 = 68.19   ODDS = 0.57   z_cluster = 0.228