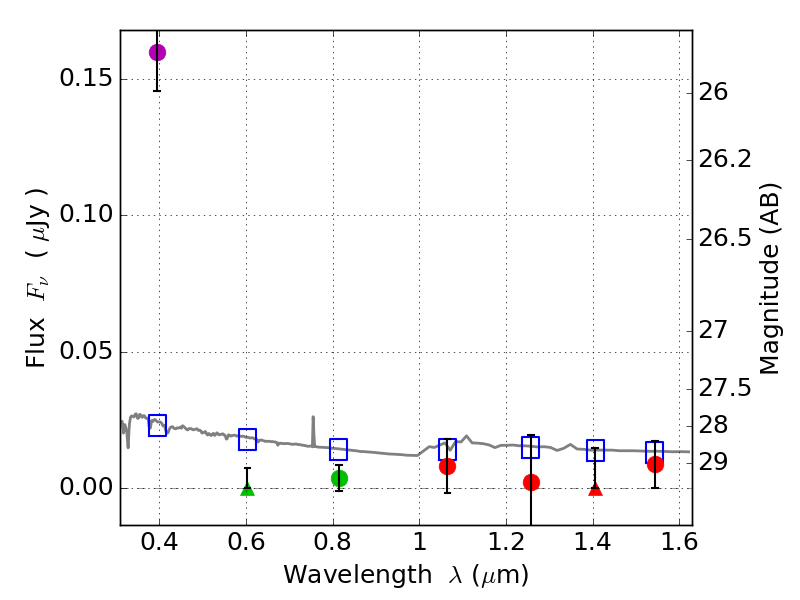
RXS0603+42-N IR detection object #7392

Color images and BPZ results
Catalog: 7392.cat
Black segments are analyzed here.   Roll mouse over color images to view segments.
Best viewed in a wide browser window (1200 pixels or more).   Download SED & P(z) plots to view larger versions.
In P(z) plots: Yellow lines mark the cluster redshift z = 0.228,  

Object #7392   x,y = (2581, 1073)   RA, Dec = (06:03:13.704, 42:14:22.20) = (90.80710, 42.23950)   BPZ = 1.701 [0.889--2.357]   type = 11.00 (SB11_A_0_l)   stellarity = 0.49   chisq2 = 25.46   ODDS = 0.33   z_cluster = 0.228