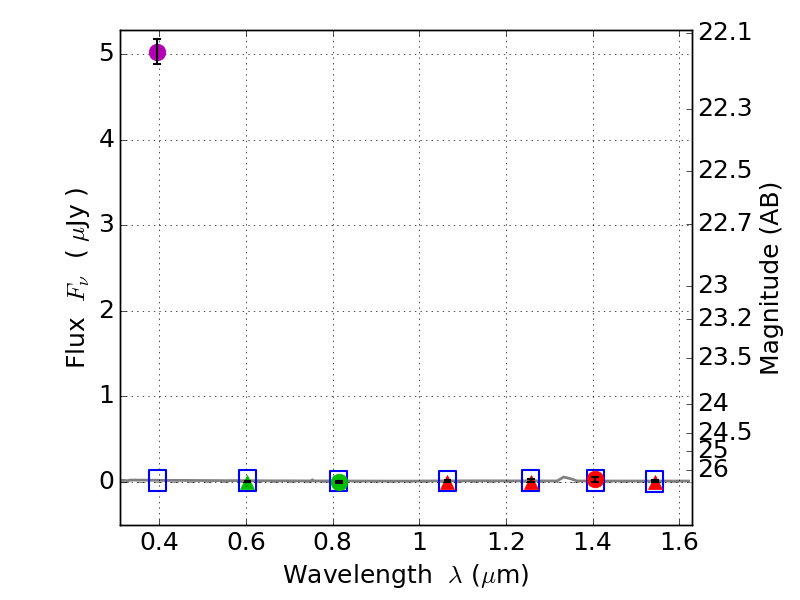
RXS0603+42-N IR detection object #7380

Color images and BPZ results
Catalog: 7380.cat
Black segments are analyzed here.   Roll mouse over color images to view segments.
Best viewed in a wide browser window (1200 pixels or more).   Download SED & P(z) plots to view larger versions.
In P(z) plots: Yellow lines mark the cluster redshift z = 0.228,  

Object #7380   x,y = (1879, 1078)   RA, Dec = (06:03:17.496, 42:14:22.20) = (90.82290, 42.23950)   BPZ = 1.694 [0.383--8.689]   type = 11.00 (SB11_A_0_l)   stellarity = 0.99   chisq2 = 282.10   ODDS = 0.09   z_cluster = 0.228