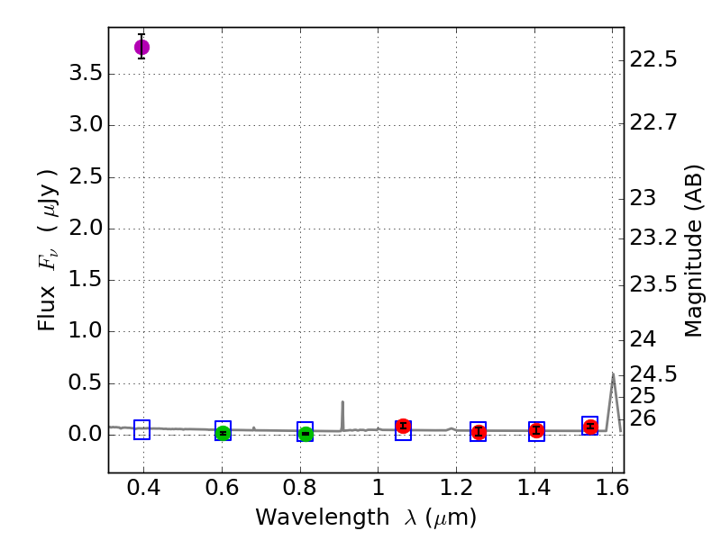
RXS0603+42-N IR detection object #7373

Color images and BPZ results
Catalog: 7373.cat
Black segments are analyzed here.   Roll mouse over color images to view segments.
Best viewed in a wide browser window (1200 pixels or more).   Download SED & P(z) plots to view larger versions.
In P(z) plots: Yellow lines mark the cluster redshift z = 0.228,  

Object #7373   x,y = (1926, 1060)   RA, Dec = (06:03:17.256, 42:14:21.12) = (90.82190, 42.23920)   BPZ = 1.442 [1.147--2.178]   type = 11.00 (SB11_A_0_l)   stellarity = 0.90   chisq2 = 263.80   ODDS = 0.41   z_cluster = 0.228