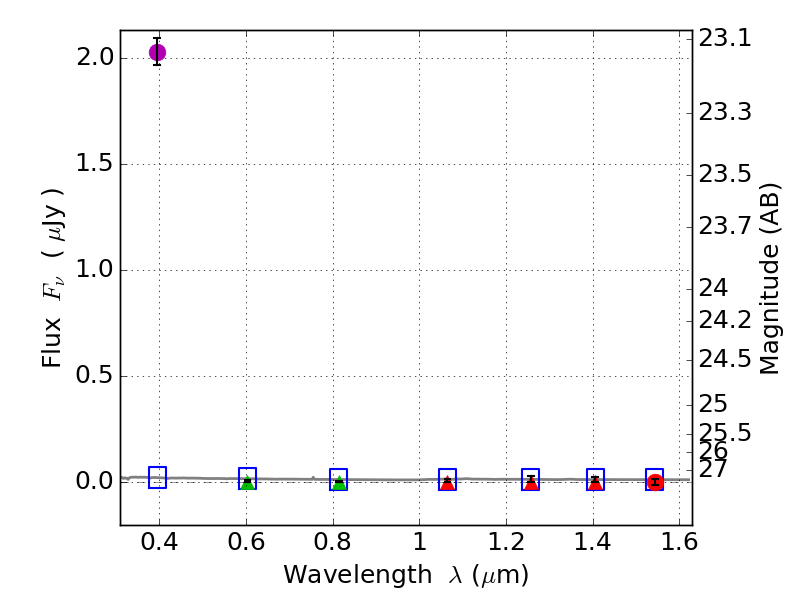
RXS0603+42-N IR detection object #7362

Color images and BPZ results
Catalog: 7362.cat
Black segments are analyzed here.   Roll mouse over color images to view segments.
Best viewed in a wide browser window (1200 pixels or more).   Download SED & P(z) plots to view larger versions.
In P(z) plots: Yellow lines mark the cluster redshift z = 0.228,  

Object #7362   x,y = (1872, 1090)   RA, Dec = (06:03:17.544, 42:14:23.28) = (90.82310, 42.23980)   BPZ = 1.700 [0.498--6.155]   type = 11.00 (SB11_A_0_l)   stellarity = 1.00   chisq2 = 235.70   ODDS = 0.19   z_cluster = 0.228