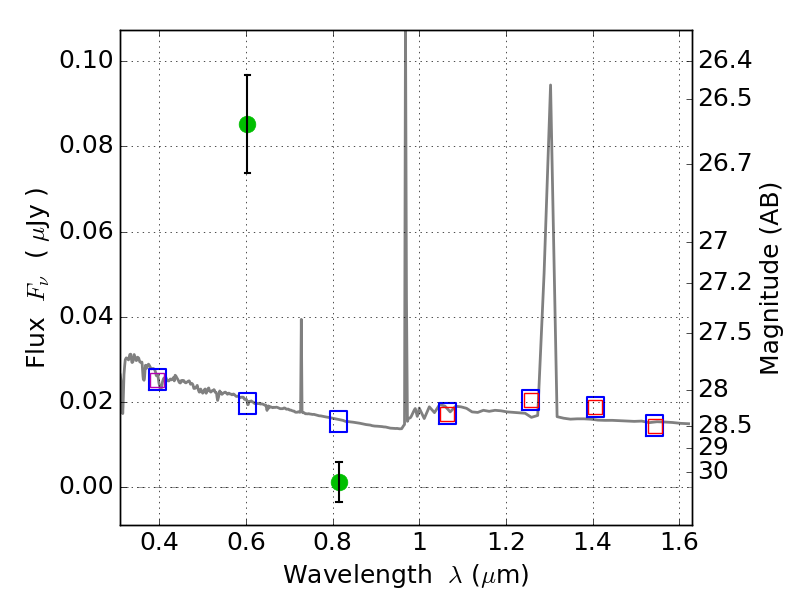
RXS0603+42-N IR detection object #7357

Color images and BPZ results
Catalog: 7357.cat
Black segments are analyzed here.   Roll mouse over color images to view segments.
Best viewed in a wide browser window (1200 pixels or more).   Download SED & P(z) plots to view larger versions.
In P(z) plots: Yellow lines mark the cluster redshift z = 0.228,  

Object #7357   x,y = (1422, 1174)   RA, Dec = (06:03:19.968, 42:14:27.96) = (90.83320, 42.24110)   BPZ = 1.598 [0.371--3.637]   type = 11.00 (SB11_A_0_l)   stellarity = 0.84   chisq2 = 39.43   ODDS = 0.11   z_cluster = 0.228