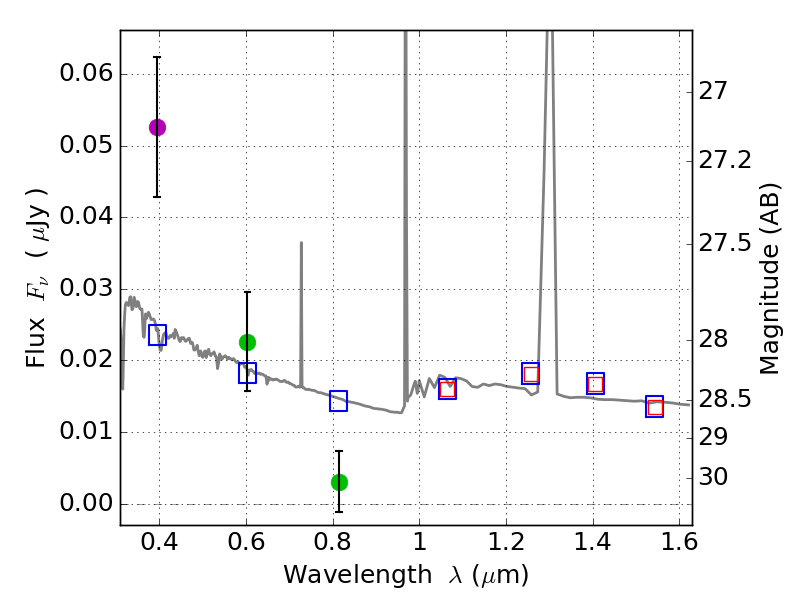
RXS0603+42-N IR detection object #7349

Color images and BPZ results
Catalog: 7349.cat
Black segments are analyzed here.   Roll mouse over color images to view segments.
Best viewed in a wide browser window (1200 pixels or more).   Download SED & P(z) plots to view larger versions.
In P(z) plots: Yellow lines mark the cluster redshift z = 0.228,  

Object #7349   x,y = (2961, 1095)   RA, Dec = (06:03:11.664, 42:14:23.28) = (90.79860, 42.23980)   BPZ = 1.596 [1.055--2.479]   type = 11.00 (SB11_A_0_l)   stellarity = 0.35   chisq2 = 15.24   ODDS = 0.24   z_cluster = 0.228