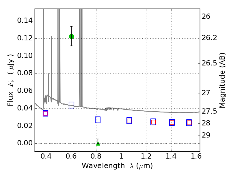
RXS0603+42-N IR detection object #7294

Color images and BPZ results
Catalog: 7294.cat
Black segments are analyzed here.   Roll mouse over color images to view segments.
Best viewed in a wide browser window (1200 pixels or more).   Download SED & P(z) plots to view larger versions.
In P(z) plots: Yellow lines mark the cluster redshift z = 0.228,  

Object #7294   x,y = (1648, 1112)   RA, Dec = (06:03:18.744, 42:14:24.36) = (90.82810, 42.24010)   BPZ = 0.023 [0.011--2.855]   type = 11.00 (SB11_A_0_l)   stellarity = 0.68   chisq2 = 69.18   ODDS = 0.53   z_cluster = 0.228