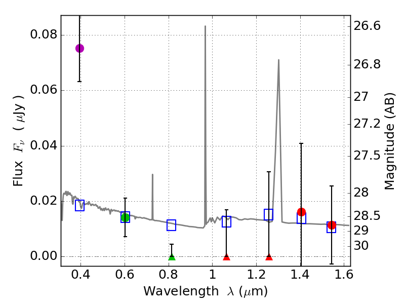
RXS0603+42-N IR detection object #7275

Color images and BPZ results
Catalog: 7275.cat
Black segments are analyzed here.   Roll mouse over color images to view segments.
Best viewed in a wide browser window (1200 pixels or more).   Download SED & P(z) plots to view larger versions.
In P(z) plots: Yellow lines mark the cluster redshift z = 0.228,  

Object #7275   x,y = (2639, 1120)   RA, Dec = (06:03:13.392, 42:14:24.72) = (90.80580, 42.24020)   BPZ = 1.599 [0.638--2.704]   type = 11.00 (SB11_A_0_l)   stellarity = 0.39   chisq2 = 7.15   ODDS = 0.20   z_cluster = 0.228