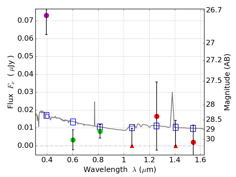
RXS0603+42-N IR detection object #7274

Color images and BPZ results
Catalog: 7274.cat
Black segments are analyzed here.   Roll mouse over color images to view segments.
Best viewed in a wide browser window (1200 pixels or more).   Download SED & P(z) plots to view larger versions.
In P(z) plots: Yellow lines mark the cluster redshift z = 0.228,  

Object #7274   x,y = (2662, 1120)   RA, Dec = (06:03:13.272, 42:14:24.72) = (90.80530, 42.24020)   BPZ = 1.762 [0.482--2.619]   type = 11.00 (SB11_A_0_l)   stellarity = 0.38   chisq2 = 8.17   ODDS = 0.21   z_cluster = 0.228