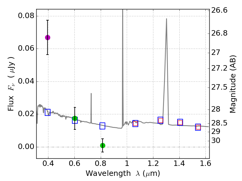
RXS0603+42-N IR detection object #727

Color images and BPZ results
Catalog: 727.cat
Black segments are analyzed here.   Roll mouse over color images to view segments.
Best viewed in a wide browser window (1200 pixels or more).   Download SED & P(z) plots to view larger versions.
In P(z) plots: Yellow lines mark the cluster redshift z = 0.228,  

Object #727   x,y = (2313, 3464)   RA, Dec = (06:03:15.168, 42:16:45.48) = (90.81320, 42.27930)   BPZ = 1.596 [1.042--2.468]   type = 11.00 (SB11_A_0_l)   stellarity = 0.47   chisq2 = 26.55   ODDS = 0.24   z_cluster = 0.228