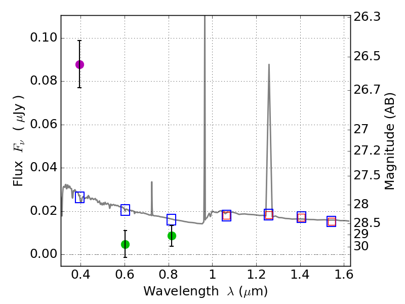
RXS0603+42-N IR detection object #7268

Color images and BPZ results
Catalog: 7268.cat
Black segments are analyzed here.   Roll mouse over color images to view segments.
Best viewed in a wide browser window (1200 pixels or more).   Download SED & P(z) plots to view larger versions.
In P(z) plots: Yellow lines mark the cluster redshift z = 0.228,  

Object #7268   x,y = (3256, 1123)   RA, Dec = (06:03:10.056, 42:14:25.08) = (90.79190, 42.24030)   BPZ = 1.594 [0.912--2.268]   type = 11.00 (SB11_A_0_l)   stellarity = 0.56   chisq2 = 39.08   ODDS = 0.24   z_cluster = 0.228