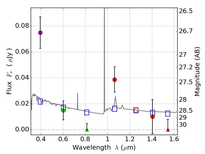
RXS0603+42-N IR detection object #7205

Color images and BPZ results
Catalog: 7205.cat
Black segments are analyzed here.   Roll mouse over color images to view segments.
Best viewed in a wide browser window (1200 pixels or more).   Download SED & P(z) plots to view larger versions.
In P(z) plots: Yellow lines mark the cluster redshift z = 0.228,  

Object #7205   x,y = (1981, 1142)   RA, Dec = (06:03:16.944, 42:14:26.16) = (90.82060, 42.24060)   BPZ = 1.613 [0.553--2.398]   type = 11.00 (SB11_A_0_l)   stellarity = 0.41   chisq2 = 11.57   ODDS = 0.31   z_cluster = 0.228