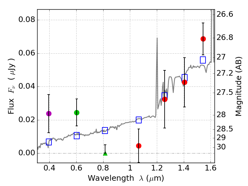
RXS0603+42-N IR detection object #7201

Color images and BPZ results
Catalog: 7201.cat
Black segments are analyzed here.   Roll mouse over color images to view segments.
Best viewed in a wide browser window (1200 pixels or more).   Download SED & P(z) plots to view larger versions.
In P(z) plots: Yellow lines mark the cluster redshift z = 0.228,  

Object #7201   x,y = (2257, 1143)   RA, Dec = (06:03:15.456, 42:14:26.16) = (90.81440, 42.24060)   BPZ = 2.225 [1.271--9.929]   type = 7.60 (SB1_B10 - Scd_B10)   stellarity = 0.36   chisq2 = 3.20   ODDS = 0.21   z_cluster = 0.228