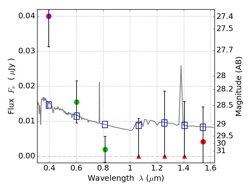
RXS0603+42-N IR detection object #7191

Color images and BPZ results
Catalog: 7191.cat
Black segments are analyzed here.   Roll mouse over color images to view segments.
Best viewed in a wide browser window (1200 pixels or more).   Download SED & P(z) plots to view larger versions.
In P(z) plots: Yellow lines mark the cluster redshift z = 0.228,  

Object #7191   x,y = (2589, 1167)   RA, Dec = (06:03:13.680, 42:14:27.60) = (90.80700, 42.24100)   BPZ = 1.763 [0.485--3.066]   type = 11.00 (SB11_A_0_l)   stellarity = 0.35   chisq2 = 3.37   ODDS = 0.19   z_cluster = 0.228