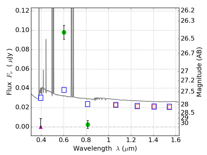
RXS0603+42-N IR detection object #7167

Color images and BPZ results
Catalog: 7167.cat
Black segments are analyzed here.   Roll mouse over color images to view segments.
Best viewed in a wide browser window (1200 pixels or more).   Download SED & P(z) plots to view larger versions.
In P(z) plots: Yellow lines mark the cluster redshift z = 0.228,  

Object #7167   x,y = (3590, 1154)   RA, Dec = (06:03:08.256, 42:14:26.88) = (90.78440, 42.24080)   BPZ = 0.023 [0.010--3.081]   type = 11.00 (SB11_A_0_l)   stellarity = 0.57   chisq2 = 92.17   ODDS = 0.85   z_cluster = 0.228