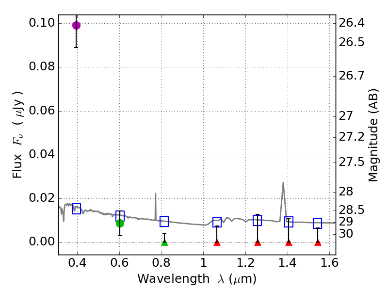
RXS0603+42-N IR detection object #7144

Color images and BPZ results
Catalog: 7144.cat
Black segments are analyzed here.   Roll mouse over color images to view segments.
Best viewed in a wide browser window (1200 pixels or more).   Download SED & P(z) plots to view larger versions.
In P(z) plots: Yellow lines mark the cluster redshift z = 0.228,  

Object #7144   x,y = (2833, 1159)   RA, Dec = (06:03:12.360, 42:14:27.24) = (90.80150, 42.24090)   BPZ = 1.763 [0.735--2.537]   type = 11.00 (SB11_A_0_l)   stellarity = 0.39   chisq2 = 18.98   ODDS = 0.30   z_cluster = 0.228