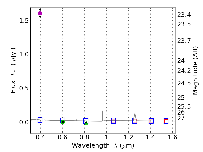
RXS0603+42-N IR detection object #7119

Color images and BPZ results
Catalog: 7119.cat
Black segments are analyzed here.   Roll mouse over color images to view segments.
Best viewed in a wide browser window (1200 pixels or more).   Download SED & P(z) plots to view larger versions.
In P(z) plots: Yellow lines mark the cluster redshift z = 0.228,  

Object #7119   x,y = (1676, 1166)   RA, Dec = (06:03:18.600, 42:14:27.60) = (90.82750, 42.24100)   BPZ = 1.594 [1.138--2.210]   type = 11.00 (SB11_A_0_l)   stellarity = 1.00   chisq2 = 821.20   ODDS = 0.32   z_cluster = 0.228