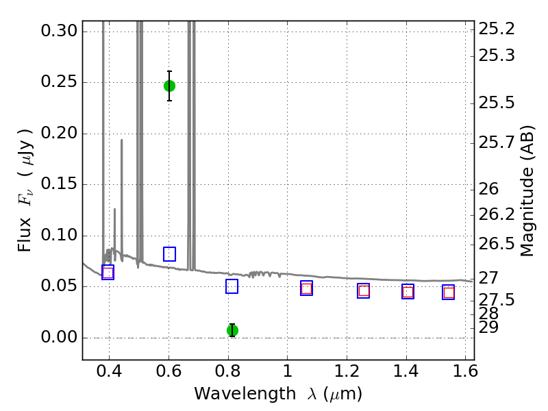
RXS0603+42-N IR detection object #7085

Color images and BPZ results
Catalog: 7085.cat
Black segments are analyzed here.   Roll mouse over color images to view segments.
Best viewed in a wide browser window (1200 pixels or more).   Download SED & P(z) plots to view larger versions.
In P(z) plots: Yellow lines mark the cluster redshift z = 0.228,  

Object #7085   x,y = (1331, 1180)   RA, Dec = (06:03:20.472, 42:14:28.68) = (90.83530, 42.24130)   BPZ = 0.019 [0.010--0.042]   type = 11.00 (SB11_A_0_l)   stellarity = 0.99   chisq2 = 143.30   ODDS = 1.00   z_cluster = 0.228