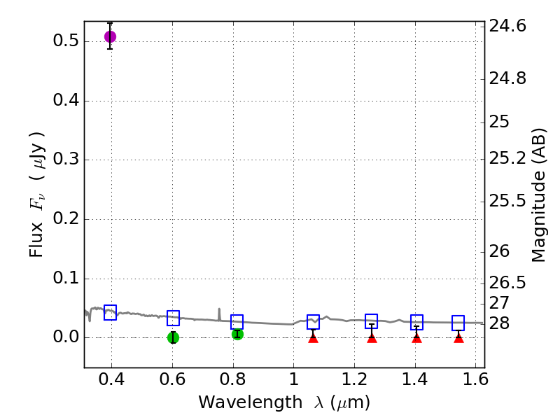
RXS0603+42-N IR detection object #7052

Color images and BPZ results
Catalog: 7052.cat
Black segments are analyzed here.   Roll mouse over color images to view segments.
Best viewed in a wide browser window (1200 pixels or more).   Download SED & P(z) plots to view larger versions.
In P(z) plots: Yellow lines mark the cluster redshift z = 0.228,  

Object #7052   x,y = (2775, 1192)   RA, Dec = (06:03:12.672, 42:14:29.40) = (90.80280, 42.24150)   BPZ = 1.700 [1.425--2.062]   type = 11.00 (SB11_A_0_l)   stellarity = 0.70   chisq2 = 115.90   ODDS = 0.61   z_cluster = 0.228