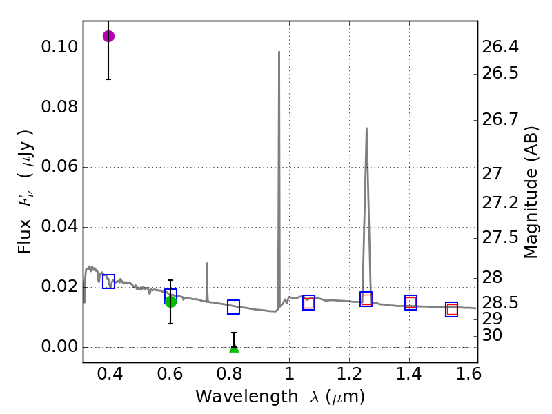
RXS0603+42-N IR detection object #699

Color images and BPZ results
Catalog: 699.cat
Black segments are analyzed here.   Roll mouse over color images to view segments.
Best viewed in a wide browser window (1200 pixels or more).   Download SED & P(z) plots to view larger versions.
In P(z) plots: Yellow lines mark the cluster redshift z = 0.228,  

Object #699   x,y = (2556, 3481)   RA, Dec = (06:03:13.848, 42:16:46.56) = (90.80770, 42.27960)   BPZ = 1.595 [0.745--2.570]   type = 11.00 (SB11_A_0_l)   stellarity = 0.39   chisq2 = 38.35   ODDS = 0.22   z_cluster = 0.228