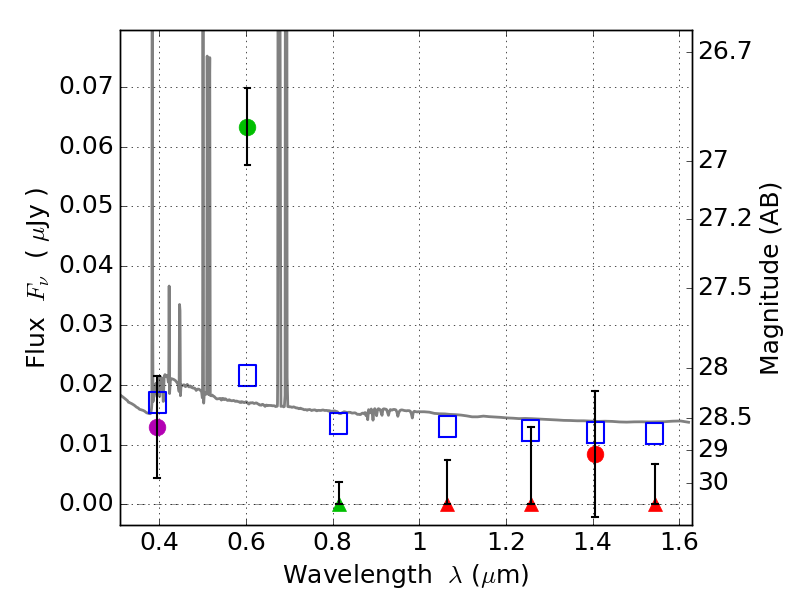
RXS0603+42-N IR detection object #6976

Color images and BPZ results
Catalog: 6976.cat
Black segments are analyzed here.   Roll mouse over color images to view segments.
Best viewed in a wide browser window (1200 pixels or more).   Download SED & P(z) plots to view larger versions.
In P(z) plots: Yellow lines mark the cluster redshift z = 0.228,  

Object #6976   x,y = (2155, 1210)   RA, Dec = (06:03:16.008, 42:14:30.12) = (90.81670, 42.24170)   BPZ = 0.028 [0.013--3.108]   type = 11.00 (SB11_A_0_l)   stellarity = 0.44   chisq2 = 14.61   ODDS = 0.40   z_cluster = 0.228