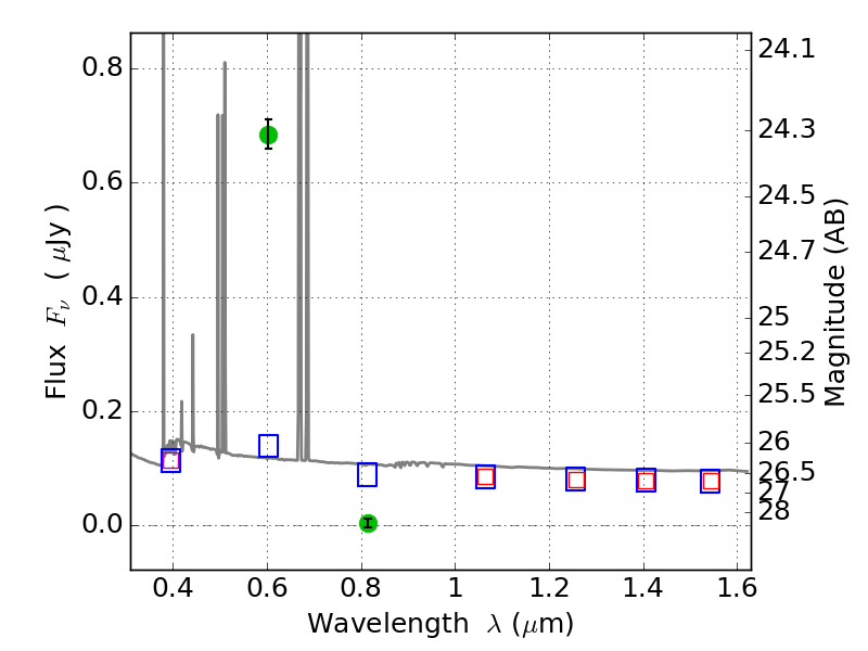
RXS0603+42-N IR detection object #6955

Color images and BPZ results
Catalog: 6955.cat
Black segments are analyzed here.   Roll mouse over color images to view segments.
Best viewed in a wide browser window (1200 pixels or more).   Download SED & P(z) plots to view larger versions.
In P(z) plots: Yellow lines mark the cluster redshift z = 0.228,  

Object #6955   x,y = (1279, 1217)   RA, Dec = (06:03:20.736, 42:14:30.84) = (90.83640, 42.24190)   BPZ = 0.017 [0.010--0.036]   type = 11.00 (SB11_A_0_l)   stellarity = 1.00   chisq2 = 442.70   ODDS = 1.00   z_cluster = 0.228