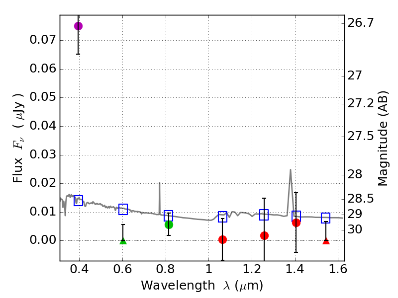
RXS0603+42-N IR detection object #6934

Color images and BPZ results
Catalog: 6934.cat
Black segments are analyzed here.   Roll mouse over color images to view segments.
Best viewed in a wide browser window (1200 pixels or more).   Download SED & P(z) plots to view larger versions.
In P(z) plots: Yellow lines mark the cluster redshift z = 0.228,  

Object #6934   x,y = (2516, 1223)   RA, Dec = (06:03:14.064, 42:14:31.20) = (90.80860, 42.24200)   BPZ = 1.762 [0.432--2.875]   type = 11.00 (SB11_A_0_l)   stellarity = 0.36   chisq2 = 11.14   ODDS = 0.21   z_cluster = 0.228