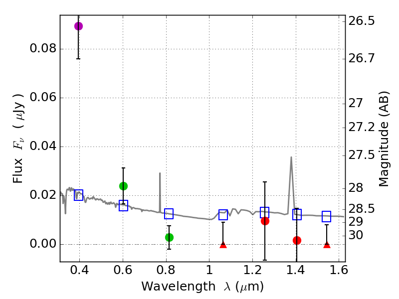
RXS0603+42-N IR detection object #6858

Color images and BPZ results
Catalog: 6858.cat
Black segments are analyzed here.   Roll mouse over color images to view segments.
Best viewed in a wide browser window (1200 pixels or more).   Download SED & P(z) plots to view larger versions.
In P(z) plots: Yellow lines mark the cluster redshift z = 0.228,  

Object #6858   x,y = (2670, 1242)   RA, Dec = (06:03:13.224, 42:14:32.28) = (90.80510, 42.24230)   BPZ = 1.763 [0.576--2.721]   type = 11.00 (SB11_A_0_l)   stellarity = 0.38   chisq2 = 8.87   ODDS = 0.27   z_cluster = 0.228