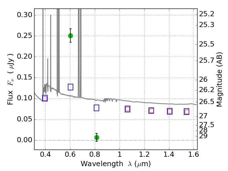
RXS0603+42-N IR detection object #6853

Color images and BPZ results
Catalog: 6853.cat
Black segments are analyzed here.   Roll mouse over color images to view segments.
Best viewed in a wide browser window (1200 pixels or more).   Download SED & P(z) plots to view larger versions.
In P(z) plots: Yellow lines mark the cluster redshift z = 0.228,  

Object #6853   x,y = (1185, 1256)   RA, Dec = (06:03:21.264, 42:14:33.00) = (90.83860, 42.24250)   BPZ = 0.020 [0.010--0.043]   type = 11.00 (SB11_A_0_l)   stellarity = 0.65   chisq2 = 77.26   ODDS = 1.00   z_cluster = 0.228