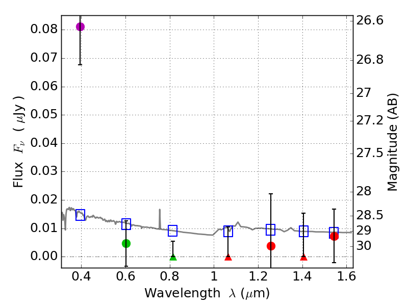
RXS0603+42-N IR detection object #6794

Color images and BPZ results
Catalog: 6794.cat
Black segments are analyzed here.   Roll mouse over color images to view segments.
Best viewed in a wide browser window (1200 pixels or more).   Download SED & P(z) plots to view larger versions.
In P(z) plots: Yellow lines mark the cluster redshift z = 0.228,  

Object #6794   x,y = (1983, 1260)   RA, Dec = (06:03:16.944, 42:14:33.36) = (90.82060, 42.24260)   BPZ = 1.699 [0.376--5.980]   type = 11.00 (SB11_A_0_l)   stellarity = 0.22   chisq2 = 7.18   ODDS = 0.13   z_cluster = 0.228