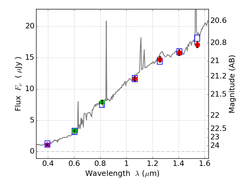
RXS0603+42-N IR detection object #6793

Color images and BPZ results
Catalog: 6793.cat
Black segments are analyzed here.   Roll mouse over color images to view segments.
Best viewed in a wide browser window (1200 pixels or more).   Download SED & P(z) plots to view larger versions.
In P(z) plots: Yellow lines mark the cluster redshift z = 0.228,  

Object #6793   x,y = (2073, 1448)   RA, Dec = (06:03:16.464, 42:14:44.52) = (90.81860, 42.24570)   BPZ = 0.691 [0.485--0.754]   type = 6.80 (Scd_B10 - Sbc_B10)   stellarity = 0.60   chisq2 = 0.20   ODDS = 0.82   z_cluster = 0.228