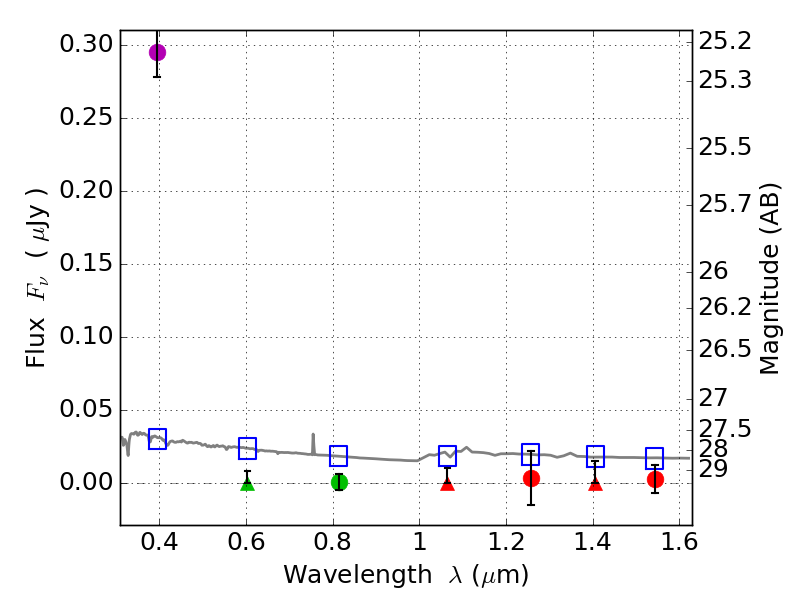
RXS0603+42-N IR detection object #6771

Color images and BPZ results
Catalog: 6771.cat
Black segments are analyzed here.   Roll mouse over color images to view segments.
Best viewed in a wide browser window (1200 pixels or more).   Download SED & P(z) plots to view larger versions.
In P(z) plots: Yellow lines mark the cluster redshift z = 0.228,  

Object #6771   x,y = (2359, 1268)   RA, Dec = (06:03:14.904, 42:14:33.72) = (90.81210, 42.24270)   BPZ = 1.700 [1.248--2.205]   type = 11.00 (SB11_A_0_l)   stellarity = 0.64   chisq2 = 62.50   ODDS = 0.48   z_cluster = 0.228