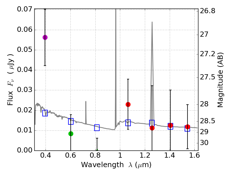
RXS0603+42-N IR detection object #6768

Color images and BPZ results
Catalog: 6768.cat
Black segments are analyzed here.   Roll mouse over color images to view segments.
Best viewed in a wide browser window (1200 pixels or more).   Download SED & P(z) plots to view larger versions.
In P(z) plots: Yellow lines mark the cluster redshift z = 0.228,  

Object #6768   x,y = (2144, 1270)   RA, Dec = (06:03:16.080, 42:14:33.72) = (90.81700, 42.24270)   BPZ = 1.586 [0.392--5.703]   type = 11.00 (SB11_A_0_l)   stellarity = 0.36   chisq2 = 2.84   ODDS = 0.13   z_cluster = 0.228